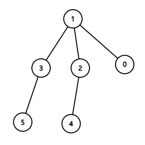
1. 트리(Tree)
트리는 그래프(Graph)와 유사한 형태를 가지며 어떤 의미로는 그래프의 일종이라고 볼 수도 있다.
다만 모든 노드가 동등한 관계였던 그래프와는 달리 트리의 노드는 서로 부모/자식의 관계를 가진다.
아래 예시를 보며 좀더 자세히 알아보자.

- 부모 노드를 가지지 않는 노드를 루트(root) 노드 라고 한다.
- 루트 노드를 제외한 모든 노드는 한 개의 부모 노드를 가진다.(두 개 이상의 부모 노드를 가질 수 없다)
- 자식 노드를 가지지 않는 노드들을 리프(leaf) 노드 라고 한다.
- 리프 노드를 제외한 모든 노드는 한 개 이상의 자식 노드를 가진다.
- 어떤 노드의 자식노드를 루트로 하는 트리를 그 노드의 서브 트리(subtree)라고 한다.
- 어떤 노드가 가지는 자식 노드의 갯수(혹은 서브트리의 갯수)를 노드의 차수(degree) 라고 한다.
트리 전체의 차수는 노드들의 차수 중 가장 큰 값이 된다. - 루트 노드로부터 어떤 노드 까지 거쳐야하는 간선의 갯수를 그 노드의 깊이(depth) 라고 한다.
루트 노드의 깊이는 0이다. - 서로 깊이가 같은 노드들의 집합을 레벨(level) 이라고 한다. 위 트리에서의 레벨 1에 해당하는 노드는
3, 2, 0 이 있다.
2. 트리의 표현
- 배열을 사용한 트리의 표현
- arr[0] 을 루트 노드로 한다
- 노드 arr[i] 의 좌측 자식 노드는 arr[i * 2 + 1], 우측 자식 노드는 arr[i * 2 + 2] 에 저장된다.
- 특수한 트리가 아니면 메모리의 낭비가 매우 심하다.
- 완전 이진 트리를 나타내는 경우라면 빈 공간이 없고 자식 노드를 가리키기 위한 포인터가
필요하지 않기 때문에 효율적이다.
- 연결 리스트를 사용한 트리의 표현
- 자기 자신의 데이터와 좌측, 우측 자식노드를 가리키는 포인터를 가지는 노드 간의 연결로 표현한다.
- 정확히 노드의 수 만큼만 메모리를 차지하기 때문에 대부분의 경우 배열을 사용한 방식보다
메모리 효율이 좋다. - 특정 노드에의 접근이나 트리의 순회 등은 배열을 사용한 방식에 비해 느리다.
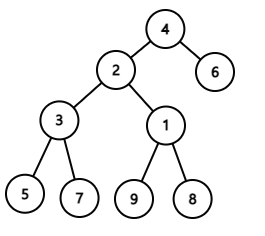
3. 트리의 순회(Traversal)
트리의 순회방법 네 가지에 대해 알아본다. 모든 순회는 루트 노드로부터 시작한다.

1) 전위 순회(Preorder Traversal)
- 절차
① 현재 노드를 탐색
② 좌측 자식 노드로 이동하여 해당 절차를 수행
③ 우측 자식 노드로 이동하여 해당 절차를 수행 - 결과
4 - 2 - 3 - 5 - 7 - 1 - 9 - 8 - 6 - 순서의 맨 앞이 항상 루트 노드를 가리킨다.
- 일반적인 깊이 우선 탐색이 이와 같은 순서를 보인다.
2) 후위 순회(Postorder Traversal)
- 절차
① 좌측 자식 노드로 이동하여 해당 절차를 수행
② 우측 자식 노드로 이동하여 해당 절차를 수행
③ 현재 노드를 탐색 - 결과
5 - 7 - 3 - 9 - 8 - 1 - 2 - 6 - 4
- 순서의 맨 뒤가 항상 루트 노드를 가리킨다.
3) 중위 순회(Inorder Traversal)
- 절차
① 좌측 자식 노드로 이동하여 해당 절차를 수행
② 현재 노드를 탐색
③ 우측 자식 노드로 이동하여 해당 절차를 수행 - 결과
5 - 3 - 7 - 2 - 9 - 1 - 8 - 4 - 6
- 루트보다 먼저 방문한 쪽은 좌측 서브트리에, 나중에 방문한 쪽은 우측 서브트리에 속한다
- 이진 탐색 트리를 중위 순회 할 경우 노드들을 오름차순 정렬한 순서로 방문하게 된다.
4) 레벨 순회(Level-order Traversal)
- 절차
① 현재 레벨의 모든 노드를 좌측부터 순서대로 순회
② 다음 레벨로 이동하여 해당 절차를 수행 - 결과
4 - 2 - 6 - 3 - 1 - 5 - 7 - 9 - 8
- 너비 우선 탐색이 이와 같은 순서를 보인다.
- 큐(Queue) 를 사용하여 구현할 수 있다.
4. 트리의 종류 - 이진 트리
1) 이진 트리(Binary Tree)

- 차수가 2인 트리, 즉 노드가 가질 수 있는 자식 노드의 최대 갯수가 2인 트리를 의미한다.
2) 이진 탐색 트리(Binary Search Tree)

- 어떤 노드의 좌측 서브 트리에는 자신보다 작은 값을 가지는 노드만이, 우측 서브 트리에는 자신보다 큰 값을
가지는 노드만이 존재하는 상태의 이진 트리이다. - 균형이 잘 잡힌 이진 탐색 트리의 경우 트리 내의 특정 데이터를 탐색하는데 O(logN) 의 시간복잡도를 보인다.
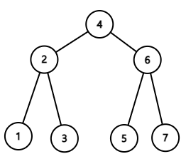
3) 완전 이진 트리(Complete Binary Tree)



- 마지막 레벨을 제외한 레벨이 완전히 채워져있으며 마지막 레벨의 노드가 왼쪽에서부터 채워진 상태인
이진 트리이다. - 배열로 표현했을 때 빈 칸이 생기지 않는 트리이다.
- 위 그림에서 A는 완전 이진 트리지만 B는 레벨 2가 완전히 채워지지 않았기 때문에, C는 마지막 레벨의 노드 8, 9 가
왼쪽에서부터 채워지지 않았기 때문에 완전 이진 트리가 아니다.
4) 정 이진 트리(Full Binary Tree)

- 모든 노드가 자식노드를 두 개 가지거나 아예 가지지 않는, 즉 자식 노드를 하나만 가지는 노드가 없는 트리이다.
5) 포화 이진 트리(Perfect Binary Tree)

- 마지막 레벨까지 빈 공간 없이 완전히 채워진 이진 트리이다.
6) 균형 이진 트리(Balanced Binary Tree)


- 명확한 정의가 있는 것은 아니지만 트리 B와 같이 치우친 상태가 아닌 A와 같이 균형을 이룬 상태의
이진 트리이다. - 균형의 기준을 어떻게 세우느냐에 따라 다른 형태가 될 수 있지만 일반적으로는 모든 노드에 대해
좌측과 우측의 서브트리의 높이 차이가 일정이상 나지 않을 것을 기준으로 한다.
'CS > 자료구조' 카테고리의 다른 글
| #8 트리(Tree) 3 - AVL 트리 (0) | 2021.10.07 |
|---|---|
| #7 트리(Tree) 2 - 힙(Heap) (0) | 2021.10.06 |
| #5 그래프(Graph) (0) | 2021.10.01 |
| #4 큐(Queue) (0) | 2021.09.28 |
| #3 스택 (Stack) (0) | 2021.09.28 |