1. AVL 트리
이진 탐색 트리를 활용한 데이터의 탐색은 분명 O(logN) 까지의 성능을 보일 수 있지만 트리가 한 방향으로 치우쳐
생성될 경우 최악의 경우 O(N) 까지 성능이 떨어질 수 있다. 반대로 이진 탐색 트리가 항상 균형 이진 트리가 되도록
할 수 있다면 항상 O(logN)의 성능을 보장할 수 있을 것이다. AVL 트리는 삽입, 삭제가 이뤄져도 항상 균형 상태를
유지하는 자가 균형 이진 탐색 트리이다.
2. AVL 트리의 특징
- 어떤 노드를 기준으로 하더라도 좌, 우 서브트리의 높이(깊이)가 2 이상의 차이를 보이지 않는다.
- 노드의 삽입/삭제가 발생할 때마다 매번 서브트리의 회전을 통해 균형을 맞춘다.
- 균형을 거의 완벽하게 유지하기 때문에 탐색속도는 빠르지만 삽입/삭제의 속도가 이후에 설명할
Red-black 트리에 비해 느린편이다. - 삽입/삭제/탐색 모두 O(logN)을 보장한다.
3. 회전 알고리즘
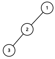
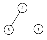
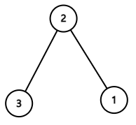
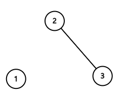
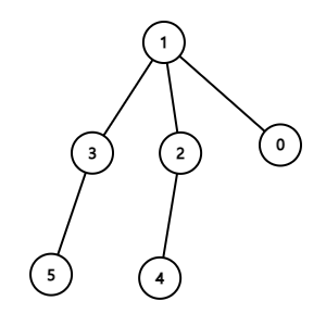
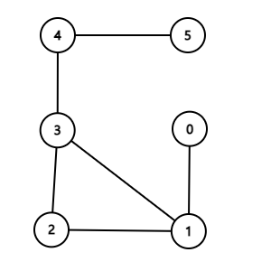
① LL 회전

- 위 그림과 같이 기준이 되는 루트노드(1)의 좌측 서브트리와 우측 서브트리의 높이차이가 1보다 크고
좌측 자식 노드 기준으로 좌측 서브트리의 높이가 우측 서브트리의 높이보다 큰 상태를 LL상태라고 한다. - LL 회전은 LL 상태에서 일어난다.

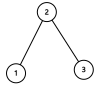
- 먼저 루트 노드(1)의 왼쪽 자식노드를 왼쪽 자식노드(2)의 오른쪽 자식노드(null) 로 한다.

- 원래 왼쪽 자식노드였던 2번 노드의 오른쪽 자식노드를 루트노드였던 1로 한다.
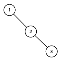
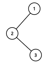
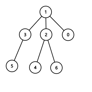
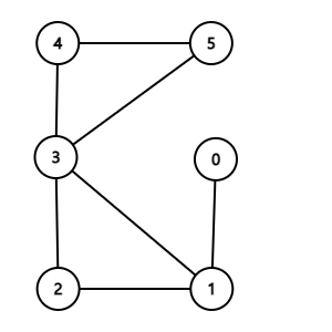
② RR 회전

- 위 그림과 같이 기준이 되는 루트노드(1)의 우측 서브트리와 좌측 서브트리의 높이차이가 1보다 크고
우측 자식 노드 기준으로 우측 서브트리의 높이가 좌측 서브트리의 높이보다 큰 상태를 RR상태라고 한다. - RR 회전은 RR 상태에서 일어난다.

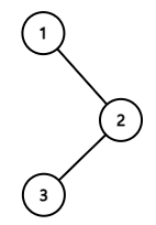
- 먼저 루트 노드(1)의 오른쪽 자식노드를 오른쪽 자식노드(2)의 왼쪽 자식노드(null) 로 한다.

- 원래 오른쪽 자식노드였던 2번 노드의 왼쪽 자식노드를 루트노드였던 1로 한다.
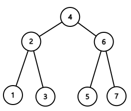
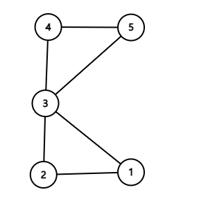
③ LR 회전

- 위 그림과 같이 루트노드 기준 좌측 서브트리 높이가 우측 서브트리보다 2이상 높고 좌측 자식노드 기준
우측 서브트리의 높이가 좌측 서브트리보다 높은 상태를 LR 상태라고 한다. - LR 회전은 LR 상태에서 일어난다.
- LL, RR 회전을 알고있다면 여기서부터는 간단하다. 루트노드(1)의 좌측 자식노드(2)를 기준으로 RR 회전을
실행한 뒤, 루트 노드(1)를 기준으로 LL 회전을 실행해주면 된다.
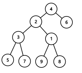
④ RL 회전

- 위 그림과 같이 루트노드 기준 우측 서브트리 높이가 좌측 서브트리보다 2이상 높고 우측 자식노드 기준
좌측 서브트리의 높이가 우측 서브트리보다 높은 상태를 RL 상태라고 한다. - RL 회전은 RL 상태에서 일어난다.
- LR 회전과 반대로 루트노드(1)의 우측 자식노드(2)를 기준으로 LL 회전을 실행한 뒤, 루트노드(1)를 기준으로
RR 회전을 실행해주면 된다.
4. AVL 트리의 연산
- 삽입/삭제(Insert, Delete)
- 이진 탐색 트리의 방식대로 데이터를 삽입/삭제한다.
- 루트 노드부터 시작하여 균형 재조정함수를 호출하여 균형을 재조정한다.
- 균형 재조정(Rebalance)
- 루트 노드로부터 시작
- 좌측 서브트리에 대해 균현 재조정 함수 재귀호출
- 우측 서브트리에 대해 균형 재조정 함수 재귀호출
- 좌측 서브트리와 우측 서브트리의 높이를 구한다.
- 만약 두 서브트리의 높이차이가 2 이상이라면 현재 루트노드를 기준으로 트리가 어느 상태인지 파악한다.
- 각 상태에 맞는 회전(LL, RR, LR, RL)을 실행한다.
- 루트 노드를 환한다.
'CS > 자료구조' 카테고리의 다른 글
| #10 레드블랙 트리(Red-Black Tree) 구현 (0) | 2021.10.14 |
|---|---|
| #9 트리(Tree) 4 - 레드블랙 트리(Red-Black Tree) (0) | 2021.10.08 |
| #7 트리(Tree) 2 - 힙(Heap) (0) | 2021.10.06 |
| #6 트리(Tree) 1 - 트리의 개념/이진 트리 (0) | 2021.10.04 |
| #5 그래프(Graph) (0) | 2021.10.01 |






































































































